인재채용
본문
포항세명기독병원에 입사지원을 해주신 모든 분들께 감사드립니다.
- 입사지원자분들은 입사지원서와 자기소개서, 개인정보수집 및 이용동의서를 작성하여 함께 제출하여 주시기 바랍니다.
- 입사지원시 제출한 서류반환이나 파기를 원할 경우 채용서류 반환 및 파기 청구 안내서를 작성하여 신청해 주시기 바랍니다.
- 채용서류 반환청구서 신청방법: 직접방문, 팩스
- 채용서류 보관기간 : 채용여부가 확정된 날부터 15일까지
- * 반환 청구기간이 지난 경우 및 채용서류를 반환하지 않은 경우「개인정보보호법」에 따라 채용서류를 파기하므로 반환을 할 수 없음을 알려드립니다. (법제11조제4항)
- 입사지원자는 「채용절차의 공정화에 관한 법률」제11조에 따라, 입사지원자는 최종합격자 발표일 이후 14일간 (반환청구기간) 서면으로 채용서류의 반환을「별첨 서식」할 수 있으며, 이 경우 반환 청구를 한 날부터 14일 이내에 해당 채용서류를 반환(최종 채용합격자, 홈페이지 또는 전자우편으로 제출된 경우나 구인자(세명기독병원)의 요구없이 자발적으로 제출한 경우는 제외)하게 됩니다. 채용서류의 보관기간은 상기의 반환청구기간 까지이며, 보관기간동안 반환을 청구하지 않거나 전자적으로 접수된 서류는 「개인정보보호법」에 따라 파기 합니다. 반환을 청구하는 경우 반환에 소요되는 비용은 청구인 부담으로 청구될 수 있습니다.
- 입사지원자는 온라인(홈페이지)으로 입사지원서류 제출이 가능합니다.
- 입사지원자에 대한 다음과 같은 사항은 병원홈페이지, 전화, 문자전송으로 고지합니다.
- 채용서류가 접수된 사실, 전형방법 및 절차변경, 합격자 및 불합격자 통보
2023년 상반기 신규간호사 채용 합격자 명단 발표
- · 작성 : 관리자
- · 작성일 2022-11-04 13:33
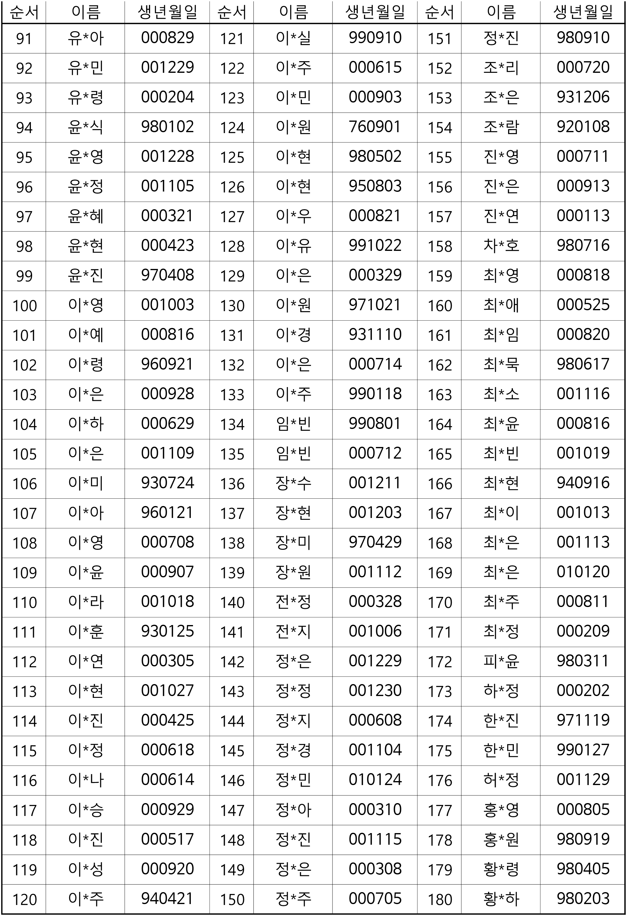
2023년 신규간호사 합격자 명단입니다.
2023년 신규간호사 합격을 축하드립니다.
남은 기간 시험 준비 잘하셔서 건강한 모습으로 입사하시길 기다리겠습니다.
1월 20일 국가고시 이후 2월 1일(수) ~ 2월 2일(목) 이틀간 동안 입사서류, 신체검진, 기숙사 관련 등 입사설명회 소집예정입니다.
날짜별 방문자는 1월 25일(수) 본원 홈페이지에 공지하겠습니다.
연락처가 변경되거나 철회를 원하는 경우 등 기타 문의는 간호부(054-289-1677,1856) 연락 주시기 바랍니다.
※ 철회하시는 분은 11월 30일(수)까지 꼭 빠른 연락 부탁드립니다.
(개인정보로 이름 가운데 *표시)
2023년 신규간호사 합격을 축하드립니다.
남은 기간 시험 준비 잘하셔서 건강한 모습으로 입사하시길 기다리겠습니다.
1월 20일 국가고시 이후 2월 1일(수) ~ 2월 2일(목) 이틀간 동안 입사서류, 신체검진, 기숙사 관련 등 입사설명회 소집예정입니다.
날짜별 방문자는 1월 25일(수) 본원 홈페이지에 공지하겠습니다.
연락처가 변경되거나 철회를 원하는 경우 등 기타 문의는 간호부(054-289-1677,1856) 연락 주시기 바랍니다.
※ 철회하시는 분은 11월 30일(수)까지 꼭 빠른 연락 부탁드립니다.
(개인정보로 이름 가운데 *표시)


-
2023년 신규간호사 합격자 명단-1 |
1.3M
|
1931 Download(s)
-
2023년 신규간호사 합격자 명단-2 |
1.3M
|
1668 Download(s)


